Vue 源码分析 - DIFF 算法实现
前言
vue版本:2.6.10
每次更新视图前都会根据视图模板生成vnode(虚拟的节点树),vnode类似dom树,但更简陋,每个vnode都与页面的上的元素html元素一一对应!为了更好的性能,因此要复用元素。那么就要知道怎么复用!就要对比newVnode(当前生成的vnode)和oldVnode(上次生成的vnode),对比完之后才知道那些是要删除,那些是需要重新创建,那些需要移动、移动到哪里!?
而diff算法则是对比的一种比较好的方式,更好的更快地对比,谁被谁复用!
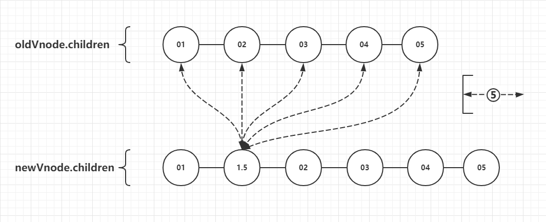
newVnode和oldVnode的比对仅限于同层级之间对比,兄弟之间相互比较,如下图。不会出现跨层级的对比。

diff算法是什么
diff算法不是一种对比的方法,而是一种寻找与当前节点匹配可复用节点的方法;寻找oldVnode.children中那个成员与newVnode.children中那个成员相同。
这种寻找的方法如图可见一斑,主要的方法有5种,辅助的有2种(未画在图上),一共7种。每种寻找方式相互独立!通过循环遍历children,逐一判断,直到循环结束。下面结合代码分别说明其中寻找方式。
ps:无需过于在意图中所表达的逻辑,图只是用于辅助说明下面的源码

1 | function updateChildren ( |
建立四个指针oldStartVnode、oldEndVnode、newStartVnode、newEndVnode,由updateChildren中的定义可以知道:开始时,他们分别指向oldVnode.children的头部、oldVnode.children的尾部、newVnode.children的头部、newVnode.children的尾部。然后,这四个指针的指向也不是固定的,在循环遍历的过程中,他们的指向也会变动,他们指向会因为以下索引的变动而变动,oldStartIdx、oldEndIdx、newStartIdx、newEndIdx。
1.新头与旧头垂直对比

新旧头部vnode进行对比,判断是否匹配,以复用。sameVnode的功能与实现逻辑参考附录:sameVnode的功能与实现逻辑,值得一提的是:a.是input元素,更新前后type不一致;b.变动的是key属性;c.元素更新前后将所有属性删除,或从无到有;只要不是以上三种情况之一,不论怎么增删、修改元素上的属性,都不会影响是否匹配的结果!
1.判断新旧头部是匹配的,那么就调用patchVnode,给newStartVnode打补丁!
patchVnode函数的主要功能:
a. 复用elm,将oldVnode.elm赋值到newVnode.elm;
b. 更新elm上的属性变动;
c. 更新newVnode.children,增删或复用,这里的复用就是通过调用updateChildren来实现,没错递归了!
patchVnode函数的主要功能参考:附录:patchVnode函数的关键实现
2.分别右移oldStartVnode和newStartVnode。
1 | function updateChildren (/* */) { |
2.新尾与旧尾垂直对比

新旧尾部的对比情况和[1新头与旧头垂直对比]类似,再次再累累述,以下实现的逻辑:
1 | function updateChildren (/* */) { |
3.新尾与旧头交叉对比

当前情况与[1新头与旧头垂直对比]略有不同!看源码中,多出了下面这句:
1 | canMove && nodeOps.insertBefore(parentElm, oldStartVnode.elm, nodeOps.nextSibling(oldEndVnode.elm)) |
这句代码实现就是图片中移动elm的功能!为什么要移动elm?因为newEndVnode复用了oldStartVnode.elm,复用这一步已经由patchVnode函数实现,然后还需要让elm列的顺序与newVnode的顺序保持一致,所以需要将oldStartVnode.elm移动到正确的位置!
1 | function updateChildren (/* */) { |
4.新头与旧尾交叉对比

当前情况与[新尾与旧头交叉对比]类似,不做赘述!配合图片和源码食用口味更佳~
1 | function updateChildren (/* */) { |
5.当前新vnode与旧头尾之间的vnode对比
在本次循环中,前4种控制流都没有进入,就说明一头一尾、两次交叉对比都没有找到可复用的节点!但这并非代表旧children中无可复用,因为头与尾之间的元素还没有比对过,第5种方式即是如此!这第5种方式在有定义key(v-for指令中的key)或没有的情况下又是不同的表现!
注意:在此情况下,是用新头去旧children的头尾之间寻找可复用元素
5-1.构建oldCildren映射表(key => idx)
从oldChildren构建一个映射表(key => idx),这样就可以通过key,结合这个映射表快速找到匹配的可复用的元素。时间复杂度就是O(1)!
1 | function updateChildren (/* */) { |
createKeyToOldIdx的实现:
1 | function createKeyToOldIdx (children, beginIdx, endIdx) { |
5-2.根据5-1的映射表找到可复用vnode的索引
列表渲染中不一定会定义key,如果没有定义那么5-1的映射表就没有用了。那么就需要遍历旧children节点寻找与新头匹配的元素(详见下面代码的findIdxInOld方法)!那么时间复杂度就上来了,不再是使用映射表时的O(1),而是O(n)。由此也可以知道使用key的性能优化优越之所在!
1 | function updateChildren (/* */) { |
findIdxInOld:时间复杂度O(n)
1 | function findIdxInOld (node, oldCh, start, end) { |
5-3.无可复用旧元素
在旧children可能会找到也可能找不到可复用的元素,没有找到是什么情况?如图:

假如现在newStartVnode指向的是key = 1.5的vnode,那么很明显旧children中就没有可以复用的vnode,那么需要做的就是:a.创建一个与newStartVnode对应的newElm(新的真实html元素);b.然后将newElm插入到旧children中key=02的vnode对应的真实元素的前面!
1 | function updateChildren (/* */) { |
5-4.复用旧元素
5-3和5-4是互斥的,进入5-4控制流就表示5-2中返回的idxInOld不为空,旧children中存在这匹配的vnode。虽然存在可用的vnode,但如果key并不可信呢?比如v-for="(item, index) in items"中的索引被用作key!!!因此有了下面的5-4-1和5-4-2。
5-4-1.确实可复用
使用sameVnode方法二次确认vnodeToMove(在旧children中找到的vnode)时可用的!接下就是类似的操作。但比较明显的不同是:其他都是递增或递减新旧索引,但在5-4-1中则是递增newStartIdx,然后旧vnode置为null(oldCh[idxInOld] = undefined),这是设计的巧妙之处,当前还没有感受到,再看下-1.跳过左边已经复用的vnode和0.跳过右边已经复用的vnode中的内容就会豁然开朗!
1 | function updateChildren (/* */) { |
5-4-2.虚假的可复用
5-4-1与5-4-2是互斥的,既然没有元素可以复用到newStartVnode中,那么只能像5-3中那样创建与newStartVnode对应的html元素!!!
1 | function updateChildren (/* */) { |
-1.跳过左边已经复用的vnode
我们知道oldStartVnode这个指针是不断地右移,从下面的代码中的isUndef(oldStartVnode)知道,一旦碰到未定的vnode就会右移一个单位,继续循环比对后面的vnode。为什么会有未定义的vnode?正常来说应该存在,因为vnode都是与页面上的html元素一一对应的!在5-4-1.确实可复用中,vue确实地将旧children中存在可复用elm的vnode手动置为了undefined:oldCh[idxInOld] = undefined!为什么置空不直接用delete操作符删除?!删了就换了idx顺序!!
1 | function updateChildren (/* */) { |
0.跳过右边已经复用的vnode
1 | function updateChildren (/* */) { |
while中的控制流顺序
上面为了突出重点去讲,没有按while中控制流的顺序书写,以下是while块总各控制流的顺序:
1 | while (oldStartIdx <= oldEndIdx && newStartIdx <= newEndIdx) { |
while之外
留意while的循环条件:oldStartIdx <= oldEndIdx && newStartIdx <= newEndIdx,只要oldStartIdx大于oldEndIdx或newStartIdx大于newEndIdx就会结束循环!换言之,只要遍历完新旧children任意一个就会结束循环!
a. 先遍历完旧children就说明新children新增了vnode,那么就要创建与这些vnodes对应的elm;
b. 先遍历完新children就说明新children删除了一些vnode,那么就要删除多出的vnodes。
1 | if (oldStartIdx > oldEndIdx) { |
因为在循环遍历children的时候,startIdx(newStartIdx或oldStartIdx)和endIdx分别会向左和右移动。下面是四个索引移动的情况:
newStartIdx右移:1.新头与旧头垂直对比、4.新头与旧尾交叉对比、5.当前新vnode与旧头尾之间的vnode对比;
newEndIdx左移:2.新尾与旧尾垂直对比、3.新尾与旧头交叉对比;
oldStartIdx右移:-1.跳过左边已经复用的vnode、1.新头与旧头垂直对比、3.新尾与旧头交叉对比;
ildEndIdx左移:0.跳过右边已经复用的vnode、2.新尾与旧尾垂直对比、4.新头与旧尾交叉对比;
新children新增了vnode
根据newStartIdx和newEndIdx的移动情况
1.newStartIdx一直右移,由于新增的vnode都在后面,可以复用的vnode都在前面了,newEndIdx会保持不变,直到遍历完旧children:

2.newStartIdx右移,newEndIdx左移,直到遍历完旧children:

3.新增的vnode都在前面了,由于是新的节点所以存在“newStartIdx右移”的情况,newStartIdx就保持不变了,而可复用的vnode在右边,随着一次次循环,newEndIdx则会左移:

新children删除了vnode的情况就不赘述,情况可以从上面的解析类推!
新旧vnode与真实元素elm的关系
vnode是和elm一一对应的,vnode的顺序和elm保持这一致,vnode上的属性也是与对应的elm的属性对应。所以,在patch(给oldVnode打补丁)前,可以认为oldVnode树与页面上elm树是对应的!
1.oldVnode.children中vnode的顺序和oldVnode.elm.children(oldVnode对应的elm的子元素列表)的顺序是保持一致的、elm上的属性也是保持一致;
2.diff算法通过对比oldVnode.children与newVnode.children的vnode,找到可以复用的elm,并改变elm的位置,使之与newVnode.children的顺序保持一致!
diff的特点
- 先垂直,再交叉,最后中间找,diff在旧vnode.children找可复用vnode,所用比对方式的优先级!
- 只与同级vnode中寻找复用的elm,由上面的分析可以知道,只会在同级的children中寻找可以复用的vnode。但现实是可以复用的元素可以存在于dom树任意的地方,明显这样是可能回错过实际存在的复用元素,而重新创建元素!这里就是vue或diff的权衡的地方,是不计代价全局去找最优解,还是如当前这般在同级节点中寻找!?
- 定义key属性可以大幅度减少操作数,在5.当前新vnode与旧头尾之间的vnode对比中,在定义了key的情况下,会创建一个映射表
oldKeyToIdx,通过映射表可以快速找到可复用vnode,而没有定义的话,就需要遍历oldVnode.children,逐一使用sameVnode比对!
实用主义
1.新头与旧头垂直对比、2.新尾与旧尾垂直对比、3.新尾与旧头交叉对比、4.新头与旧尾交叉对比,以上四种不论是否定义元素属性key
- 定义了,可以快速判断出不相同(但不完全可靠)
使用遍历索引作为key,
它也可以用于强制替换元素/组件而不是重复使用它。当你遇到如下场景时它可能会很有用:
完整地触发组件的生命周期钩子
触发过渡
diff算法默认使用“就地复用”的策略,是一个首尾交叉对比的过程。
用index作为key和不加key是一样的,都采用“就地复用”的策略
“就地复用”的策略,只适用于不依赖子组件状态或临时 DOM 状态 (例如:表单输入值) 的列表渲染输出。
将与元素唯一对应的值作为key,可以最大化利用dom节点,提升性能
附录
sameVnode的功能与实现逻辑
1 | function sameVnode (a, b) { |
patchVnode函数的关键实现
1 | function patchVnode (/* */) { |
nodeOps.insertBefore实现
path: src/platforms/web/runtime/node-ops.js
1 | export function insertBefore (parentNode: Node, newNode: Node, referenceNode: Node) { |
Node.insertBefore() 方法在参考节点之前插入一个拥有指定父节点的子节点。如果给定的子节点是对文档中现有节点的引用,insertBefore() 会将其从当前位置移动到新位置(在将节点附加到其他节点之前,不需要从其父节点删除该节点)。
vnode(虚拟节点)的成员属性
1 | class VNode { |